近年来,在阻挫量子磁性材料中探索新奇量子物态及其潜在应用一直是凝聚态物理前沿的一个重要研究方向。近日,必赢76net线路官网量子磁性与拓扑物理研究团队金文涛副教授课题组,联合中国科学院物理研究所孙培杰研究员、中国科学院理论物理研究所/彭桓武科教合作中心李伟研究员、中国科学院大学苏刚教授等研究团队,将高质量单晶生长、极低温热力学测量、中子衍射实验、量子多体理论计算等方法有效结合,在钴基三角晶格材料Na2BaCo(PO4)2中首次发现了自旋超固态这一新奇量子物态的存在,并观察到由此导致的、可实现极低温制冷的巨磁卡效应。该项研究成果于2024年1月10日发表在国际学术期刊《Nature》,标题为“Giant magnetocaloric effect in spin supersolid candidate Na2BaCo(PO4)2”。金文涛副教授、李伟研究员、孙培杰研究员、苏刚教授是该论文的共同通讯作者;项俊森博士(北航必赢76net线路官网博士毕业生)、北航必赢76net线路官网博士生张传迪、北航必赢76net线路官网-理论物理所彭桓武中心博士生高源是该论文的共同第一作者。

超固态的概念由诺贝尔物理奖得主、英国科学家A. Leggett于1970年作为一种理论猜测提出,是一种在接近绝对零度时涌现出的新奇量子物态,兼具固体和超流体的特征。2004年,美国科研团队曾报道称观察到单质氦的超固态,但随后被证实缺乏确定性的证据。目前,除了冷原子气的模拟实验外,人们一直未能在固态物质中找到超固态存在的可靠实验证据。近年来,阻挫量子磁性理论与实验研究的蓬勃发展为寻找基于自旋系统的超固态提供了新机遇。
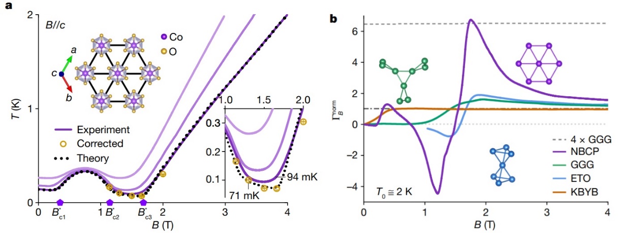
2019年,美国普林斯顿大学研究团队发现了新型钴基三角晶格磷酸盐Na2BaCo(PO4)2。前期研究观察到该材料中存在很强的低能自旋涨落,但其磁基态性质并不清楚。基于量子多体理论计算,理论物理所李伟研究员、物理所万源研究员等人提出,该材料可以由三角晶格易轴海森堡模型很好地描述,并推测其中有可能存在兼具自旋固态和自旋超流体特征的“自旋超固态”。针对这一关键科学问题,金文涛课题组合成出克量级的高质量Na2BaCo(PO4)2单晶样品,并与物理所项俊森博士、孙培杰研究员团队合作,利用高精度绝热温变测量器件,开展了极低温下的热力学和磁卡效应测量。通过绝热去磁过程,发现在自旋超固态量子临界点附近,该材料的温度急剧下降,可以到达94 mK的最低制冷温度(图1)。磁场驱动的温度下降速率(格林奈森参数)呈现出很高的尖峰,其峰值高度是目前通用制冷工质Gd3Ga5O12的四倍。由于其卓越的制冷性能来自于自旋超固态下强烈的量子自旋涨落,因此该效应可被称为自旋超固态巨磁卡效应,这是一种全新的制冷原理。

图1:Na2BaCo(PO4)2单晶的绝热退磁制冷曲线(a)以及其格林奈森参数与其它磁制冷材料的对比(b)
在此基础上,金文涛课题组分别在澳大利亚核科学和技术组织(ANSTO)和法国劳厄-朗之万研究所(ILL),利用所生长的大尺寸单晶和可实现100mK以下极低温的样品环境,开展了零磁场和纵向磁场下的单晶中子衍射实验。实验成功观察到由面外磁场驱动的三次量子相变,确认了钴离子自旋面外分量所形成的三子格长程序(即固态序),并通过由无能隙激发和微弱的层间相互作用共同导致的非公度磁峰实现了对超流序的间接探测(图2)。中子衍射实验结果与团队合作者的理论计算结果高度一致,提供了该材料中存在自旋超固态的重要微观证据。

图2:Na2BaCo(PO4)2单晶中子衍射数据。a-c:零磁场下30 mK衍射峰的出现,表明三子格序(固态序)的存在;d,f:实验测量的95 mK磁峰的位置和强度随磁场的演化;g: 理论计算的零温下固态序和超流序的序参量,其中超流序参量与f中非公度磁峰的行为相似;e:三个不同相中磁峰强度的温度依赖行为,表明自旋超固态有显著减小的有序磁矩和强烈的自旋涨落。
此研究表明,利用阻挫量子磁性材料中与新奇量子物态相关的丰富低能激发和相应的量子临界物态调控,有可能获得高效的磁制冷效应。研究成果有望为极低温固态制冷提供新的思路和解决方案,运用于深空探测、量子科技等对极低温有重要需求的研究领域,缓解当前面临的全球氦资源短缺的问题。
论文合作者还包括法国劳厄-朗之万研究所(ILL)Wolfgang Schmidt和Karin Schmalzl博士、澳大利亚核科学和技术组织(ANSTO)Chin-Wei Wang博士、物理所万源研究员、李岗副研究员,复旦大学戚扬教授,理化所沈俊研究员等人。该研究得到了国家自然科学基金面上项目、工信部国家级青年人才项目、北航青年拔尖人才支持计划等项目,以及怀柔综合极端条件实验装置的支持。
论文链接:https://doi.org/10.1038/s41586-023-06885-w